アインシュタイン=ポドルスキー=ローゼンのパラドクス
Einstein–Podolsky–Rosen paradox
☆アインシュタイン・ポドルスキー・ローゼン(EPR)のパラドックス[Einstein–Podolsky–Rosen (EPR) paradox]は、物理学者アルベルト・アインシュタイン、ボリス・ポドルスキー、ネイサン・ローゼ
ンによって提唱された思考実験であり、量子力学によって与えられる物理的現実の記述は不完全であると主張するものである。[1]
1935年の論文「物理的実在の量子力学的記述は完全であると見なせるか?」において、彼らは量子理論の一部ではない「実在の要素」の存在を主張し、これ
らの隠れた変数を含む理論を構築することが可能であるはずだと推測した。このパラドックスの解決は、量子力学の解釈にとって重要な意味を持つ。この思考実験では、後に「もつれ状態」として知られるようになる状態に準備された一対の粒子が用いられる。アインシュタイン、ポドルスキー、ローゼンは、
この状態において、もし最初の粒子の位置が測定されれば、2番目の粒子の位置の測定結果が予測可能になると指摘した。逆に、最初の粒子の運動量を測定すれ
ば、2番目の粒子の運動量の測定結果を予測できる。彼らは、最初の粒子に対して行われたいかなる作用も、もう一方の粒子に瞬時に影響を与えることはできな
いと論じた[→局所性の原理:Principle of locality]。なぜなら、それは光速よりも速く情報が伝達されることを意味し、相対性理論によればそれは不可能だからである。彼らは、後に「EPR現実性基
準」として知られるようになった原理を援用した。それは次のように定式化されている。「もし、系に何ら干渉することなく、ある物理量の値を確実に(すなわ
ち、確率が1となるように)予測できるならば、その量に対応する現実性の要素が存在する。」
これに基づき、彼らは、いずれかの量が測定される前に、第2の粒子は位置と運動量の両方に確定した値を持たなければならないと推論した。しかし、量子力学
はこれら2つの観測量を互いに相容れないものと見なしており、したがって、いかなる系に対しても両方の同時的な値を結びつけることはない。したがって、ア
インシュタイン、ポドルスキー、ローゼンは、量子理論は現実の完全な記述を提供していないと結論付けた。[2]
| The Einstein–Podolsky–Rosen (EPR) paradox
is a thought experiment proposed by physicists Albert Einstein, Boris
Podolsky and Nathan Rosen, which argues that the description of
physical reality provided by quantum mechanics is incomplete.[1] In a
1935 paper titled "Can Quantum-Mechanical Description of Physical
Reality be Considered Complete?", they argued for the existence of
"elements of reality" that were not part of quantum theory, and
speculated that it should be possible to construct a theory containing
these hidden variables. Resolutions of the paradox have important
implications for the interpretation of quantum mechanics. The thought experiment involves a pair of particles prepared in what would later become known as an entangled state. Einstein, Podolsky, and Rosen pointed out that, in this state, if the position of the first particle were measured, the result of measuring the position of the second particle could be predicted. If instead the momentum of the first particle were measured, then the result of measuring the momentum of the second particle could be predicted. They argued that no action taken on the first particle could instantaneously affect the other, since this would involve information being transmitted faster than light, which is impossible according to the theory of relativity. They invoked a principle, later known as the "EPR criterion of reality", which posited that: "If, without in any way disturbing a system, we can predict with certainty (i.e., with probability equal to unity) the value of a physical quantity, then there exists an element of reality corresponding to that quantity." From this, they inferred that the second particle must have a definite value of both position and of momentum prior to either quantity being measured. But quantum mechanics considers these two observables incompatible and thus does not associate simultaneous values for both to any system. Einstein, Podolsky, and Rosen therefore concluded that quantum theory does not provide a complete description of reality.[2] |
アインシュタイン・ポドルスキー・ローゼン(EPR)のパラドックス[Einstein–Podolsky–Rosen (EPR) paradox]
は、物理学者アルベルト・アインシュタイン、ボリス・ポドルスキー、ネイサン・ローゼンによって提唱された思考実験であり、量子力学によって与えられる物
理的現実の記述は不完全であると主張するものである。[1]
1935年の論文「物理的実在の量子力学的記述は完全であると見なせるか?」において、彼らは量子理論の一部ではない「実在の要素」の存在を主張し、これ
らの隠れた変数を含む理論を構築することが可能であるはずだと推測した。このパラドックスの解決は、量子力学の解釈にとって重要な意味を持つ。 この思考実験では、後に「もつれ状態」として知られるようになる状態に準備された一対の粒子が用いられる。アインシュタイン、ポドルスキー、ローゼンは、 この状態において、もし最初の粒子の位置が測定されれば、2番目の粒子の位置の測定結果が予測可能になると指摘した。逆に、最初の粒子の運動量を測定すれ ば、2番目の粒子の運動量の測定結果を予測できる。彼らは、最初の粒子に対して行われたいかなる作用も、もう一方の粒子に瞬時に影響を与えることはできな いと論じた。なぜなら、それは光速よりも速く情報が伝達されることを意味し、相対性理論によればそれは不可能だからである。彼らは、後に「EPR現実性基 準」として知られるようになった原理を援用した。それは次のように定式化されている。「もし、系に何ら干渉することなく、ある物理量の値を確実に(すなわ ち、確率が1となるように)予測できるならば、その量に対応する現実性の要素が存在する。」 これに基づき、彼らは、いずれかの量が測定される前に、第2の粒子は位置と運動量の両方に確定した値を持たなければならないと推論した。しかし、量子力学 はこれら2つの観測量を互いに相容れないものと見なしており、したがって、いかなる系に対しても両方の同時的な値を結びつけることはない。したがって、ア インシュタイン、ポドルスキー、ローゼンは、量子理論は現実の完全な記述を提供していないと結論付けた。[2] |
| he "Paradox" paper The term "Einstein–Podolsky–Rosen paradox" or "EPR" arose from a paper written in 1934 after Einstein joined the Institute for Advanced Study, having fled the rise of Nazi Germany.[3][4] The original paper[5] purports to describe what must happen to "two systems I and II, which we permit to interact", and after some time "we suppose that there is no longer any interaction between the two parts." The EPR description involves "two particles, A and B, [which] interact briefly and then move off in opposite directions."[6] According to Heisenberg's uncertainty principle, it is impossible to measure both the momentum and the position of particle B exactly; however, it is possible to measure the exact position of particle A. By calculation, therefore, with the exact position of particle A known, the exact position of particle B can be known. Alternatively, the exact momentum of particle A can be measured, so the exact momentum of particle B can be worked out. As Manjit Kumar writes, "EPR argued that they had proved that ... [particle] B can have simultaneously exact values of position and momentum. ... Particle B has a position that is real and a momentum that is real. EPR appeared to have contrived a means to establish the exact values of either the momentum or the position of B due to measurements made on particle A, without the slightest possibility of particle B being physically disturbed."[6] EPR tried to set up a paradox, “a seemingly absurd or self contradictory statement or proposition that may in fact be true",[7] to question the range of true application of quantum mechanics: quantum theory predicts that both values cannot be known for a particle, and yet the EPR thought experiment purports to show that they must both have determinate values. The EPR paper says: "We are thus forced to conclude that the quantum-mechanical description of physical reality given by wave functions is not complete."[6] The EPR paper ends by saying: "While we have thus shown that the wave function does not provide a complete description of the physical reality, we left open the question of whether or not such a description exists. We believe, however, that such a theory is possible." The 1935 EPR paper condensed the philosophical discussion into a physical argument. The authors claim that given a specific experiment, in which the outcome of a measurement is known before the measurement takes place, there must exist something in the real world, an "element of reality", that determines the measurement outcome. They postulate that these elements of reality are, in modern terminology, local, in the sense that each belongs to a certain point in spacetime. Each element may, again in modern terminology, only be influenced by events that are located in the backward light cone of its point in spacetime (i.e. in the past). These claims are thus founded on assumptions about nature that constitute what is now known as local realism.[8] ![]() Article headline regarding the EPR paradox paper in the May 4, 1935, issue of The New York Times Though the EPR paper has often been taken as an exact expression of Einstein's views, it was primarily authored by Podolsky, based on discussions at the Institute for Advanced Study with Einstein and Rosen. Einstein later expressed to Erwin Schrödinger that, "it did not come out as well as I had originally wanted; rather, the essential thing was, so to speak, smothered by the formalism."[9] Einstein would later go on to present an individual account of his local realist ideas.[10] Shortly before the EPR paper appeared in the Physical Review, The New York Times ran a news story about it, under the headline "Einstein Attacks Quantum Theory".[11] The story, which quoted Podolsky, irritated Einstein, who wrote to the Times, "Any information upon which the article 'Einstein Attacks Quantum Theory' in your issue of May 4 is based was given to you without authority. It is my invariable practice to discuss scientific matters only in the appropriate forum and I deprecate advance publication of any announcement in regard to such matters in the secular press."[12]: 189 The Times story also sought out comment from physicist Edward Condon, who said, "Of course, a great deal of the argument hinges on just what meaning is to be attached to the word 'reality' in physics."[12]: 189 The physicist and historian Max Jammer later noted, "[I]t remains a historical fact that the earliest criticism of the EPR paper – moreover, a criticism that correctly saw in Einstein's conception of physical reality the key problem of the whole issue – appeared in a daily newspaper prior to the publication of the criticized paper itself."[12]: 190 The term "paradox" was associated with the paper already in 1935 by Schrodinger and notably again later by David Bohm, Yakir Aharonov and John Stewart Bell.[7] |
「パラドックス」論文 「アインシュタイン・ポドルスキー・ローゼン・パラドックス」あるいは「EPR」という用語は、アインシュタインがナチス・ドイツの台頭から逃れて高等研 究所に加わった後の1934年に書かれた論文に由来する。[3] [4] 原論文[5]は、「相互作用を許容する2つの系IとII」に何が起こるかを記述するものであり、しばらく経った後、「2つの部分間の相互作用はもはや存在 しないと仮定する」としている。EPRの記述には、「2つの粒子AとBが、短時間相互作用した後、反対方向へと離れていく」という状況が含まれる。[6] ハイゼンベルクの不確定性原理によれば、粒子Bの運動量と位置の両方を正確に測定することは不可能である。しかし、粒子Aの正確な位置を測定することは可 能だ。したがって、計算上、粒子Aの正確な位置が分かれば、粒子Bの正確な位置も分かることになる。あるいは、粒子Aの正確な運動量を測定すれば、粒子B の正確な運動量を導き出すことができる。マンジット・クマールが記すように、「EPRは、……[粒子]Bが位置と運動量の正確な値を同時に持つことができ ることを証明したと主張した。……粒子Bには実在する位置と実在する運動量がある。EPRは、粒子Bが物理的に乱される可能性を微塵も持たずに、粒子Aに 対する測定によってBの運動量または位置のいずれかの正確な値を確立する手段を考案したように見えた。」[6] EPRは、量子力学の真の適用範囲に疑問を投げかけるために、「一見不合理あるいは自己矛盾しているように見えるが、実際には真実である可能性のある」 [7]パラドックスを構築しようとした。量子理論は、ある粒子について両方の値を知ることはできないと予測しているが、EPRの思考実験は、両方が確定的 な値を持たなければならないことを示そうとしているのだ。EPR論文は次のように述べている。「したがって、波動関数によって与えられる物理的現実の量子 力学的記述は完全ではないと結論づけざるを得ない。」[6] EPR論文は次のように締めくくられている。「我々は波動関数が物理的現実の完全な記述を提供しないことを示したが、そのような記述が存在するか否かとい う問題は未解決のまま残した。しかし、我々は、そのような理論は可能であると信じている。」 1935年のEPR論文は、哲学的な議論を物理的な論証へと凝縮したものである。著者らは、測定が行われる前に測定結果が既知である特定の実験において、 現実世界には測定結果を決定づける何か、すなわち「現実の要素」が存在しなければならないと主張する。彼らは、これらの現実の要素が、現代用語で言えば、 それぞれが時空の特定の点に属するという意味で、局所的であると仮定する。各要素は、やはり現代用語で言えば、その時空上の点における後方光錐(すなわち 過去)に位置する事象からのみ影響を受ける。したがって、これらの主張は、現在「局所的実在論」として知られる自然観に基づくものである。[8] ![]() 1935年5月4日付『ニューヨーク・タイムズ』紙に掲載されたEPRパラドックスに関する論文の見出し EPR論文はしばしばアインシュタインの見解を正確に表現したものとして受け取られてきたが、その主筆者はポドルスキーであり、高等研究所でのアインシュ タインおよびローゼンとの議論に基づいていた。アインシュタインは後にエルヴィン・シュレーディンガーに対し、「当初望んでいたほどうまくまとまらなかっ た。むしろ、本質的なことは、いわば形式主義によって押しつぶされてしまった」と語っている。[9] アインシュタインは後に、自身の局所実在論的見解について独自の論考を提示することになる。[10] EPR論文が『フィジカル・レビュー』に掲載される直前に、『ニューヨーク・タイムズ』紙は「アインシュタイン、量子論を攻撃」という見出しで、この件に 関する記事を掲載した。[11] ポドルスキーの言葉を引用したこの記事にアインシュタインは憤り、『タイムズ』紙に次のように書簡を送った。「貴紙5月4日号の『アインシュタイン、量子 論を攻撃』という記事の根拠となった情報は、いかなる権限もなく貴紙に提供されたものである。私は科学的事項については常に適切な場でのみ議論することを 慣例としており、そのような事項に関する発表を一般紙で事前に公表することを非難する。」 [12]: 189 『タイムズ』の記事は物理学者エドワード・コンドンにもコメントを求めており、彼は「もちろん、議論の多くは、物理学において『現実』という言葉にどのよ うな意味を付与するかという点にかかっている」と述べた。[12]: 189 物理学者であり歴史家でもあるマックス・ジャマーは後に次のように指摘した。「EPR論文に対する最初の批判――しかも、アインシュタインの物理的現実の 概念こそが本問題の核心であると正しく見抜いた批判――が、批判の対象となった論文自体の出版に先立って日刊紙に掲載されたという事実は、依然として歴史 的事実である。」 [12]: 190 「パラドックス」という用語は、1935年にはすでにシュレーディンガーによって、そして後に特にデビッド・ボーム、ヤキル・アハロノフ、ジョン・スチュ ワート・ベルによって、この論文に関連づけられていた。[7] |
| Bohr's reply The publication of the paper prompted a response by Niels Bohr, which he published in the same journal (Physical Review), in the same year, using the same title.[13] (This exchange was only one chapter in a prolonged debate between Bohr and Einstein about the nature of quantum reality.) He argued that EPR had reasoned fallaciously. Bohr said measurements of position and of momentum are complementary, meaning the choice to measure one excludes the possibility of measuring the other. Consequently, a fact deduced regarding one arrangement of laboratory apparatus could not be combined with a fact deduced by means of the other, and so, the inference of predetermined position and momentum values for the second particle was not valid. Bohr concluded that EPR's "arguments do not justify their conclusion that the quantum description turns out to be essentially incomplete".[citation needed] |
ボーアの反論 この論文の発表を受けて、ニールス・ボーアは同年、同じ雑誌(『Physical Review』)に、同じタイトルで反論を掲載した。[13](このやり取りは、量子現実の本質をめぐるボーアとアインシュタインの長期にわたる論争の一 章に過ぎなかった。)彼は、EPRの推論には誤りがあると主張した。ボーアは、位置と運動量の測定は互いに補完的であると述べた。つまり、一方を測定する という選択は、他方を測定する可能性を排除することを意味する。その結果、実験装置のいずれかの配置に関して導き出された事実は、もう一方の配置によって 導き出された事実と組み合わせることができず、したがって、第2の粒子について位置と運動量の値が予め決定されているという推論は有効ではない。ボーア は、EPRの「議論は、量子記述が本質的に不完全であるという彼らの結論を正当化するものではない」と結論付けた。[出典必要] |
| Einstein's own argument In his own publications and correspondence, Einstein indicated that he was not satisfied with the EPR paper and that Podolsky had authored most of it. He later used a different argument to insist that quantum mechanics is an incomplete theory.[14][15][16][17]: 83ff He explicitly de-emphasized EPR's attribution of "elements of reality" to the position and momentum of particle B, saying that "I couldn't care less" whether the resulting states of particle B allowed one to predict the position and momentum with certainty.[a] For Einstein, the crucial part of the argument was the demonstration of nonlocality, that the choice of measurement done in particle A, either position or momentum, would lead to two different quantum states of particle B. He argued that, because of locality, the real state of particle B could not depend on which kind of measurement was done in A and that the quantum states therefore cannot be in one-to-one correspondence with the real states.[14] Einstein struggled unsuccessfully for the rest of his life to find a theory that could better comply with his idea of locality. |
アインシュタイン自身の主張 自身の論文や書簡の中で、アインシュタインはEPR論文に満足しておらず、その大部分はポドルスキーが執筆したものであると示唆していた。彼は後に、量子 力学は不完全な理論であると主張するために、異なる論拠を用いた。[14][15][16][17]: 83ff 彼は、粒子Bの位置と運動量に「現実の要素」を帰属させるというEPRの主張を明確に軽視し、粒子Bの結果としての状態が位置と運動量を確実に予測するこ とを可能にするかどうかについては「全く気にも留めない」と述べた。[a] アインシュタインにとって、この議論の核心は非局所性の実証、すなわち粒子Aで行われる測定の選択(位置か運動量か)が、粒子Bの2つの異なる量子状態を もたらすという点にあった。彼は、局所性ゆえに粒子Bの真の状態はAで行われた測定の種類に依存し得ず、したがって量子状態は真の状態と一対一対応し得な いと論じた。[14] アインシュタインは、自身の局所性の概念により適合する理論を見出すべく、残りの生涯をかけて奮闘したが、成功しなかった。 |
| Later developments |
後の展開 |
| Bohm's variant In 1951, David Bohm proposed a variant of the EPR thought experiment in which the measurements have discrete ranges of possible outcomes, unlike the position and momentum measurements considered by EPR.[18][19][7] The EPR–Bohm thought experiment can be explained using electron–positron pairs. Suppose we have a source that emits electron–positron pairs, with the electron sent to destination A, where there is an observer named Alice, and the positron sent to destination B, where there is an observer named Bob. According to quantum mechanics, we can arrange our source so that each emitted pair occupies a quantum state called a spin singlet. The particles are thus said to be entangled. This can be viewed as a quantum superposition of two states, which we call state I and state II. In state I, the electron has spin pointing upward along the z-axis (+z) and the positron has spin pointing downward along the z-axis (−z). In state II, the electron has spin −z and the positron has spin +z. Because it is in a superposition of states, it is impossible without measuring to know the definite state of spin of either particle in the spin singlet.[20]: 421–422 ![]() The EPR thought experiment, performed with electron–positron pairs. A source (center) sends particles toward two observers, electrons to Alice (left) and positrons to Bob (right), who can perform spin measurements. Alice now measures the spin along the z-axis. She can obtain one of two possible outcomes: +z or −z. Suppose she gets +z. Informally speaking, the quantum state of the system collapses into state I. The quantum state determines the probable outcomes of any measurement performed on the system. In this case, if Bob subsequently measures spin along the z-axis, there is 100% probability that he will obtain −z. Similarly, if Alice gets −z, Bob will get +z. There is nothing special about choosing the z-axis: according to quantum mechanics the spin singlet state may equally well be expressed as a superposition of spin states pointing in the x direction.[21]: 318 Whatever axis their spins are measured along, they are always found to be opposite. In quantum mechanics, the x-spin and z-spin are "incompatible observables", meaning the Heisenberg uncertainty principle applies to alternating measurements of them: a quantum state cannot possess a definite value for both of these variables. Suppose Alice measures the z-spin and obtains +z, so that the quantum state collapses into state I. Now, instead of measuring the z-spin as well, Bob measures the x-spin. According to quantum mechanics, when the system is in state I, Bob's x-spin measurement will have a 50% probability of producing +x and a 50% probability of -x. It is impossible to predict which outcome will appear until Bob actually performs the measurement. Therefore, Bob's positron will have a definite spin when measured along the same axis as Alice's electron, but when measured in the perpendicular axis its spin will be uniformly random. It seems as if information has propagated (faster than light) from Alice's apparatus to make Bob's positron assume a definite spin in the appropriate axis. |
ボームの変種 1951年、デビッド・ボームは、EPRが考察した位置と運動量の測定とは異なり、測定結果が離散的な範囲を持つEPR思考実験の変種を提案した。 [18][19][7] EPR–ボーム思考実験は、電子・陽電子対を用いて説明することができる。電子・陽電子対を放出する源があると仮定する。電子は観測者アリスがいる地点A へ、陽電子は観測者ボブがいる地点Bへと送られる。量子力学によれば、放出される各対がスピン一重項と呼ばれる量子状態を占めるように源を調整することが できる。したがって、これらの粒子はもつれ合っているとされる。これは、状態Iと状態IIと呼ぶ2つの状態の量子重ね合わせとして捉えることができる。状 態Iでは、電子のスピンはz軸に沿って上向き(+z)を向き、陽電子のスピンはz軸に沿って下向き(−z)を向いている。状態IIでは、電子のスピンは −z、陽電子のスピンは+zとなる。状態の重ね合わせにあるため、測定を行わなければ、スピンシングレット内のいずれの粒子のスピンがどのような状態にあ るかを特定することは不可能である。[20]: 421–422 ![]() 電子・陽電子対を用いて行われるEPR思考実験。光源(中央)が2人の観測者に向けて粒子を送り出す。アリス(左)には電子を、ボブ(右)には陽電子を送り、彼らはスピン測定を行うことができる。 アリスはz軸に沿ったスピンを測定する。彼女は2つの可能な結果のいずれか、すなわち+zまたは−zを得る。彼女が+zを得たと仮定する。平易に言えば、 系の量子状態は状態Iへと収束する。量子状態は、系に対して行われるあらゆる測定の確率的な結果を決定する。この場合、その後ボブがz軸に沿ってスピンを 測定すれば、彼が−zを得る確率は100%となる。同様に、アリスが−zを得た場合、ボブは+zを得る。z軸を選んだことに特別な意味はない。量子力学に よれば、スピンシングレット状態は、x方向を向くスピン状態の重ね合わせとして等しく表現され得るからである。[21]: 318 スピンがどの軸に沿って測定されようとも、その値は常に反対になる。量子力学において、xスピンとzスピンは「互いに相容れない観測量」であり、つまりハ イゼンベルクの不確定性原理がこれらを交互に測定する場合に適用される。つまり、量子状態はこれら両方の変数について確定的な値を持つことはできない。ア リスがzスピンを測定して+zを得たと仮定する。これにより、量子状態は状態Iへと収縮する。ここで、ボブはzスピンを測定する代わりに、xスピンを測定 する。量子力学によれば、系が状態Iにあるとき、ボブのxスピン測定は+xとなる確率が50%、-xとなる確率が50%となる。ボブが実際に測定を行うま で、どちらの結果が出るかを予測することは不可能だ。したがって、ボブの陽電子は、アリスの電子と同じ軸に沿って測定すれば確定したスピンを持つが、垂直 な軸で測定すればそのスピンは一様にランダムになる。まるで、アリスの装置から(光速を超えて)情報が伝播し、ボブの陽電子が適切な軸で確定したスピンを 取るように仕向けたかのようだ。 |
| Bell's theorem Main article: Bell's theorem In 1964, John Stewart Bell published a paper[22] investigating the puzzling situation at that time: on one hand, the EPR paradox purportedly showed that quantum mechanics was nonlocal, and suggested that a hidden-variable theory could heal this nonlocality. On the other hand, David Bohm had recently developed the first successful hidden-variable theory, but it had a grossly nonlocal character.[23][24] Bell set out to investigate whether it was indeed possible to solve the nonlocality problem with hidden variables, and found out that first, the correlations shown in both EPR's and Bohm's versions of the paradox could indeed be explained in a local way with hidden variables, and second, that the correlations shown in his own variant of the paradox couldn't be explained by any local hidden-variable theory. This second result became known as the Bell theorem. To understand the first result, consider the following toy hidden-variable theory introduced later by J.J. Sakurai:[25]: 239–240 in it, quantum spin-singlet states emitted by the source are actually approximate descriptions for "true" physical states possessing definite values for the z-spin and x-spin. In these "true" states, the positron going to Bob always has spin values opposite to the electron going to Alice, but the values are otherwise completely random. For example, the first pair emitted by the source might be "(+z, −x) to Alice and (−z, +x) to Bob", the next pair "(−z, −x) to Alice and (+z, +x) to Bob", and so forth. Therefore, if Bob's measurement axis is aligned with Alice's, he will necessarily get the opposite of whatever Alice gets; if it is perpendicular, he will get "+" and "−" with equal probability. Bell showed, however, that such models can only reproduce the singlet correlations when Alice and Bob make measurements on the same axis or on perpendicular axes. As soon as other angles between their axes are allowed, local hidden-variable theories become unable to reproduce the quantum mechanical correlations. This difference, expressed using inequalities known as "Bell inequalities", is in principle experimentally testable. After the publication of Bell's paper, a variety of experiments to test Bell inequalities were carried out, notably by the group of Alain Aspect in the 1980s;[26] all experiments conducted to date have found behavior in line with the predictions of quantum mechanics. The present view of the situation is that quantum mechanics flatly contradicts Einstein's philosophical postulate that any acceptable physical theory must fulfill "local realism". The fact that quantum mechanics violates Bell inequalities indicates that any hidden-variable theory underlying quantum mechanics must be non-local; whether this should be taken to imply that quantum mechanics itself is non-local is a matter of continuing debate.[27][28] |
ベルの定理 本記事:ベルの定理 1964年、ジョン・スチュワート・ベルは、当時不可解とされていた状況について考察した論文[22]を発表した。一方では、EPRパラドックスは量子力 学が非局所的であることを示唆しており、隠れ変数理論によってこの非局所性を解消できるとされていた。他方では、デイヴィッド・ボームが最近、初めて成功 した隠れ変数理論を構築していたが、それは著しく非局所的な性質を持っていた[23][24]。ベルは、隠れた変数を用いて非局所性の問題を解決すること が果たして可能なのかを調査することに着手し、第一に、EPR版およびボーム版のパラドックスで示される相関は、隠れた変数を用いて局所的な方法で確かに 説明できること、第二に、彼自身が考案したパラドックスの変種で示される相関は、いかなる局所的な隠れた変数理論によっても説明できないことを発見した。 この第二の結果は、ベルの定理として知られるようになった。 第一の結果を理解するために、後にJ.J.桜井によって導入された以下の単純な隠れ変数理論を考えてみよう[25]: 239–240 。そこでは、源か ら放出される量子スピン一重項状態は、実際にはzスピンとxスピンに確定した値を持つ「真の」物理状態の近似的な記述である。これらの「真の」状態におい て、ボブに向かう陽電子のスピン値は、アリスに向かう電子のスピン値と常に反対になるが、それ以外の点では値は完全にランダムである。例えば、源から放出 される最初のペアは「アリスへ(+z, −x)、ボブへ(−z, +x)」となり、次のペアは「アリスへ(−z, −x)、ボブへ(+z, +x)」となり、以下同様である。したがって、ボブの測定軸がアリスの測定軸と一致している場合、ボブは必然的にアリスが得る結果と反対の結果を得る。測 定軸が直交している場合、ボブは「+」と「-」を等しい確率で得る。 しかしベルは、そのようなモデルが、アリスとボブが同一の軸上または直交する軸上で測定を行う場合にのみ、シングレット相関を再現できることを示した。両 者の軸間の角度がそれ以外になると、局所隠変数理論は量子力学的相関を再現できなくなる。この差異は、「ベルの不等式」として知られる不等式を用いて表現 され、原理的には実験的に検証可能である。ベルの論文発表後、ベルの不等式を検証するための様々な実験が行われた。特に1980年代のアラン・アスペクト のグループによる実験が著名である[26]。これまでに実施されたすべての実験において、量子力学の予測と一致する挙動が確認されている。現在の見解で は、量子力学は、あらゆる妥当な物理理論は「局所的実在論」を満たさなければならないというアインシュタインの哲学的前提と、明白に矛盾している。量子力 学がベルの不等式に違反するという事実は、量子力学の根底にある隠れた変数理論がいずれも非局所的であることを示唆している。これが量子力学そのものが非 局所的であることを意味するかどうかは、現在も議論が続いている。[27][28] |
| Steering Main article: Quantum steering Inspired by Schrödinger's treatment of the EPR paradox back in 1935,[29][30] Howard M. Wiseman et al. formalised it in 2007 as the phenomenon of quantum steering.[31] They defined steering as the situation where Alice's measurements on a part of an entangled state steer Bob's part of the state. That is, Bob's observations cannot be explained by a local hidden state model, where Bob would have a fixed quantum state in his side, which is classically correlated but otherwise independent of Alice's. |
ステアリング 本記事:量子ステアリング 1935年のシュレーディンガーによるEPRパラドックスの考察に触発され[29][30]、ハワード・M・ワイズマンらは2007年にこれを「量子ステ アリング」という現象として定式化した。[31] 彼らは、ステアリングを、もつれた状態の一部に対するアリスの測定が、ボブ側の状態を誘導する状況として定義した。すなわち、ボブの観測結果は、ボブ側が 固定された量子状態を持ち、それが古典的には相関しているものの、それ以外ではアリスの状態とは独立しているとする局所隠れ状態モデルでは説明できない。 |
| Locality Locality has several different meanings in physics. EPR describe the principle of locality as asserting that physical processes occurring at one place should have no immediate effect on the elements of reality at another location. At first sight, this appears to be a reasonable assumption to make, as it seems to be a consequence of special relativity, which states that energy can never be transmitted faster than the speed of light without violating causality;[20]: 427–428 [32] however, it turns out that the usual rules for combining quantum mechanical and classical descriptions violate EPR's principle of locality without violating special relativity or causality.[20]: 427–428 [32] Causality is preserved because there is no way for Alice to transmit messages (i.e., information) to Bob by manipulating her measurement axis. Whichever axis she uses, she has a 50% probability of obtaining "+" and 50% probability of obtaining "−", completely at random; according to quantum mechanics, it is fundamentally impossible for her to influence what result she gets. Furthermore, Bob is able to perform his measurement only once: there is a fundamental property of quantum mechanics, the no-cloning theorem, which makes it impossible for him to make an arbitrary number of copies of the electron he receives, perform a spin measurement on each, and look at the statistical distribution of the results. Therefore, in the one measurement he is allowed to make, there is a 50% probability of getting "+" and 50% of getting "−", regardless of whether or not his axis is aligned with Alice's. As a summary, the results of the EPR thought experiment do not contradict the predictions of special relativity. Neither the EPR paradox nor any quantum experiment demonstrates that superluminal signaling is possible; however, the principle of locality appeals powerfully to physical intuition, and Einstein, Podolsky and Rosen were unwilling to abandon it. Einstein derided the quantum mechanical predictions as "spooky action at a distance".[b] The conclusion they drew was that quantum mechanics is not a complete theory.[34] |
局所性 物理学において、局所性にはいくつかの異なる意味がある。EPRは、ある場所で起こる物理的過程が、別の場所にある実在の要素に即座に影響を及ぼしてはな らないと主張する原理として、局所性を説明している。一見すると、これは妥当な仮定のように思える。なぜなら、それは特殊相対性理論の結果であるかのよう に見えるからである。特殊相対性理論は、因果律に反することなくエネルギーが光速より速く伝達されることは決してないと述べている。[20]: 427–428 [32] しかし、量子力学的記述と古典的記述を組み合わせる際の通常の規則は、特殊相対性理論や因果律に違反することなく、EPRの局所性の原理に違反することが 判明した。[20]: 427–428 [32] 因果律が保たれるのは、アリスが測定軸を操作してボブにメッセージ(すなわち情報)を送る方法がないためだ。どの軸を使おうと、彼女は「+」を得る確率が 50%、「−」を得る確率が50%であり、完全にランダムである。量子力学によれば、彼女が得られる結果に影響を与えることは根本的に不可能である。さら に、ボブは測定を一度しか行えない。量子力学の根本的な性質である「複製不可能定理」により、受け取った電子を任意の回数複製し、それぞれに対してスピン 測定を行い、その結果の統計的分布を調べることは不可能だからだ。したがって、彼が行うことを許されているたった一度の測定において、彼の軸がアリスの軸 と一致しているかどうかにかかわらず、「+」が出る確率は50%、「−」が出る確率は50%である。 要約すると、EPR思考実験の結果は、特殊相対性理論の予測と矛盾しない。EPRパラドックスも、いかなる量子実験も、超光速通信が可能であることを実証 するものではない。しかし、局所性の原理は物理的直感に強く訴えかけるものであり、アインシュタイン、ポドルスキー、ローゼンはこれを放棄することを拒ん だ。アインシュタインは量子力学の予測を「不気味な遠隔作用」と揶揄した。[b] 彼らが導き出した結論は、量子力学は完全な理論ではないというものだった。[34] |
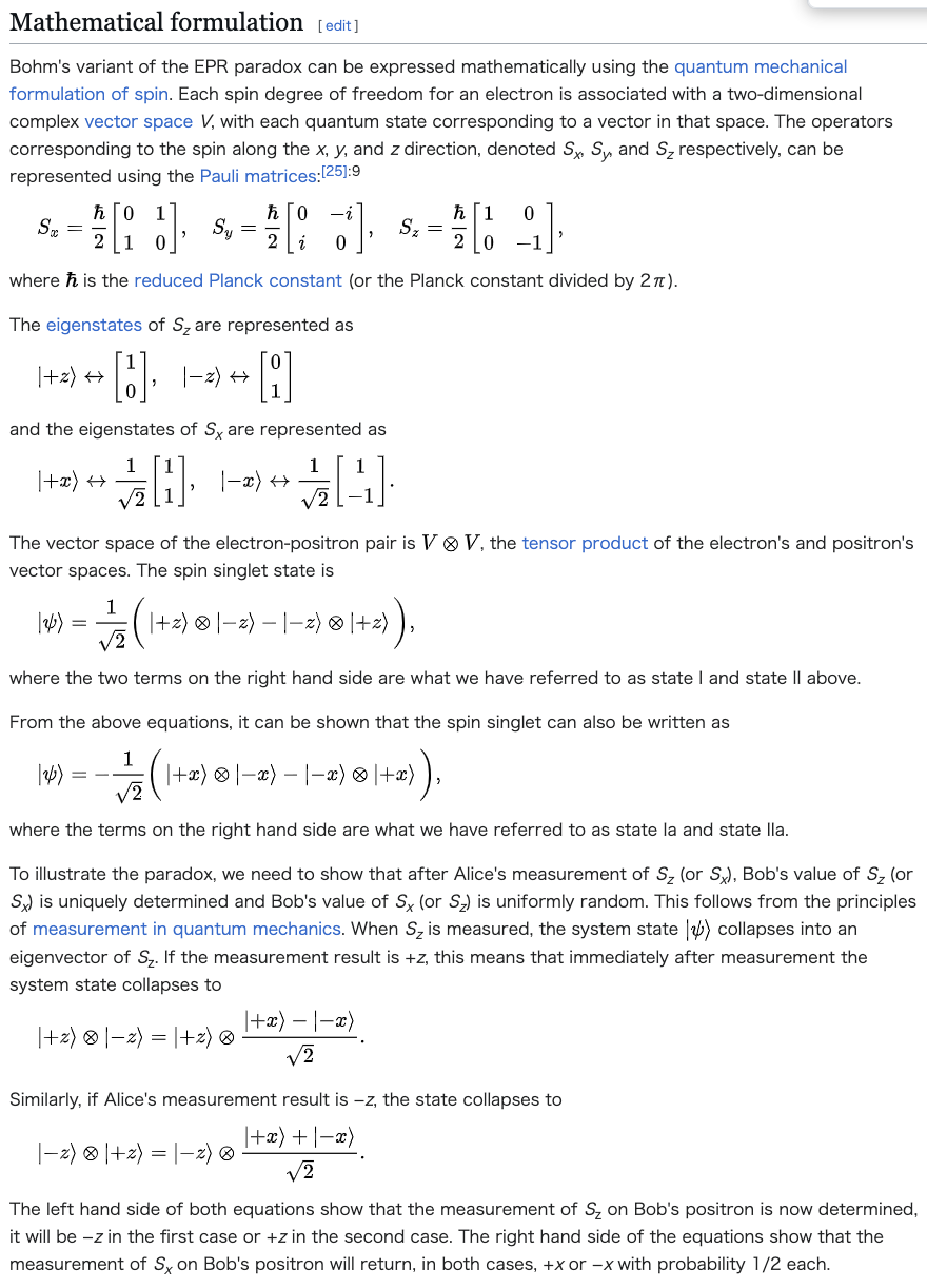
| Mathematical formulation |
数学公式(画像データ) |
![]() |
![]() |
| Aspect's experiment Bohr-Einstein debates: The argument of EPR Coherence Correlation does not imply causation CHSH inequality ER = EPR GHZ experiment Measurement problem Philosophy of information Philosophy of physics Popper's experiment Superdeterminism Quantum entanglement Quantum information Quantum pseudo-telepathy Quantum teleportation Quantum Zeno effect Synchronicity Ward's probability amplitude |
アスペクトの実験 ボーア・アインシュタイン論争:EPRの論証 コヒーレンス 相関は因果関係を意味しない CHSH不等式 ER = EPR GHZ実験 測定問題 情報の哲学 物理学の哲学 ポッパーの実験 超決定論 量子もつれ 量子情報 量子疑似テレパシー 量子テレポーテーション 量子ゼノ効果 シンクロニシティ ウォードの確率振幅 |
| References 01. Einstein, A; B Podolsky; N Rosen (1935-05-15). "Can Quantum-Mechanical Description of Physical Reality be Considered Complete?" (PDF). Physical Review. 47 (10): 777–780. Bibcode:1935PhRv...47..777E. doi:10.1103/PhysRev.47.777. Peres, Asher (2002). Quantum Theory: Concepts and Methods. Kluwer. p. 149. Robinson, Andrew (2018-04-30). "Did Einstein really say that?". Nature. 557 (7703): 30. Bibcode:2018Natur.557...30R. doi:10.1038/d41586-018-05004-4. S2CID 14013938. Levenson, Thomas (9 June 1917). "The Scientist and the Fascist". The Atlantic. Retrieved 28 June 2021. Einstein, Albert; Podolsky, Boris; Rosen, Nathan (May 15, 1935). "Can Quantum-Mechanical Description of Physical Reality Be Considered Complete?". Physical Review. 47 (10). Princeton, New Jersey: Institute for Advanced Study: 777–780. Bibcode:1935PhRv...47..777E. doi:10.1103/PhysRev.47.777. Kumar, Manjit (2011). Quantum: Einstein, Bohr, and the Great Debate about the Nature of Reality (Reprint ed.). W. W. Norton & Company. pp. 305–306. ISBN 978-0-393-33988-8. Retrieved September 12, 2021 – via Internet Archive. Reid, M. D.; Drummond, P. D.; Bowen, W. P.; Cavalcanti, E. G.; Lam, P. K.; Bachor, H. A.; Andersen, U. L.; Leuchs, G. (2009-12-10). "Colloquium: The Einstein-Podolsky-Rosen paradox: From concepts to applications". Reviews of Modern Physics. 81 (4): 1727–1751. arXiv:0806.0270. Bibcode:2009RvMP...81.1727R. doi:10.1103/RevModPhys.81.1727. S2CID 53407634. Jaeger, Gregg (2014). Quantum Objects. Springer Verlag. pp. 9–15. doi:10.1007/978-3-642-37629-0. ISBN 978-3-642-37628-3. Kaiser, David (1994). "Bringing the human actors back on stage: the personal context of the Einstein-Bohr debate". British Journal for the History of Science. 27 (2): 129–152. doi:10.1017/S0007087400031861. JSTOR 4027432. S2CID 145143635. 10. Einstein, Albert (1936). "Physik und Realität". Journal of the Franklin Institute. 221 (3): 313–347. doi:10.1016/S0016-0032(36)91045-1. English translation by Jean Piccard, pp 349–382 in the same issue, doi:10.1016/S0016-0032(36)91047-5). "Einstein Attacks Quantum Theory". The New York Times. 4 May 1935. p. 11. Retrieved 10 January 2021. Jammer, Max (1974). The Philosophy of Quantum Mechanics: The Interpretations of QM in Historical Perspective. John Wiley and Sons. ISBN 0-471-43958-4. Bohr, N. (1935-10-13). "Can Quantum-Mechanical Description of Physical Reality be Considered Complete?" (PDF). Physical Review. 48 (8): 696–702. Bibcode:1935PhRv...48..696B. doi:10.1103/PhysRev.48.696. Harrigan, Nicholas; Spekkens, Robert W. (2010). "Einstein, incompleteness, and the epistemic view of quantum states". Foundations of Physics. 40 (2): 125. arXiv:0706.2661. Bibcode:2010FoPh...40..125H. doi:10.1007/s10701-009-9347-0. S2CID 32755624. Howard, D. (1985). "Einstein on locality and separability". Studies in History and Philosophy of Science Part A. 16 (3): 171–201. Bibcode:1985SHPSA..16..171H. doi:10.1016/0039-3681(85)90001-9. Sauer, Tilman (2007-12-01). "An Einstein manuscript on the EPR paradox for spin observables". Studies in History and Philosophy of Science Part B: Studies in History and Philosophy of Modern Physics. 38 (4): 879–887. Bibcode:2007SHPMP..38..879S. CiteSeerX 10.1.1.571.6089. doi:10.1016/j.shpsb.2007.03.002. ISSN 1355-2198. Einstein, Albert (1949). "Autobiographical Notes". In Schilpp, Paul Arthur (ed.). Albert Einstein: Philosopher-Scientist. Open Court Publishing Company. Bohm, D. (1951). Quantum Theory, Prentice-Hall, Englewood Cliffs, page 29, and Chapter 5 section 3, and Chapter 22 Section 19. 20. D. Bohm; Y. Aharonov (1957). "Discussion of Experimental Proof for the Paradox of Einstein, Rosen, and Podolsky". Physical Review. 108 (4): 1070. Bibcode:1957PhRv..108.1070B. doi:10.1103/PhysRev.108.1070. Griffiths, David J. (2004). Introduction to Quantum Mechanics (2nd ed.). Prentice Hall. ISBN 978-0-13-111892-8. Laloe, Franck (2012). "Do We Really Understand Quantum Mechanics". American Journal of Physics. 69 (6): 655–701. arXiv:quant-ph/0209123. Bibcode:2001AmJPh..69..655L. doi:10.1119/1.1356698. S2CID 123349369. (Erratum: doi:10.1119/1.1466818) Bell, J. S. (1964). "On the Einstein Podolsky Rosen Paradox" (PDF). Physics Physique Физика. 1 (3): 195–200. doi:10.1103/PhysicsPhysiqueFizika.1.195. Bohm, D. (1952). "A Suggested Interpretation of the Quantum Theory in Terms of "Hidden" Variables. I". Physical Review. 85 (2): 166. Bibcode:1952PhRv...85..166B. doi:10.1103/PhysRev.85.166. Bohm, D. (1952). "A Suggested Interpretation of the Quantum Theory in Terms of "Hidden" Variables. II". Physical Review. 85 (2): 180. Bibcode:1952PhRv...85..180B. doi:10.1103/PhysRev.85.180. Sakurai, J. J.; Napolitano, Jim (2010). Modern Quantum Mechanics (2nd ed.). Addison-Wesley. ISBN 978-0-8053-8291-4. Aspect A (1999-03-18). "Bell's inequality test: more ideal than ever" (PDF). Nature. 398 (6724): 189–90. Bibcode:1999Natur.398..189A. doi:10.1038/18296. S2CID 44925917. Werner, R. F. (2014). "Comment on 'What Bell did'". Journal of Physics A. 47 (42) 424011. Bibcode:2014JPhA...47P4011W. doi:10.1088/1751-8113/47/42/424011. S2CID 122180759. Żukowski, M.; Brukner, Č. (2014). "Quantum non-locality—it ain't necessarily so...". Journal of Physics A. 47 (42) 424009. arXiv:1501.04618. Bibcode:2014JPhA...47P4009Z. doi:10.1088/1751-8113/47/42/424009. S2CID 119220867. 30. Schrödinger, E. (October 1936). "Probability relations between separated systems". Mathematical Proceedings of the Cambridge Philosophical Society. 32 (3): 446–452. Bibcode:1936PCPS...32..446S. doi:10.1017/s0305004100019137. ISSN 0305-0041. S2CID 122822435. Schrödinger, E. (October 1935). "Discussion of Probability Relations between Separated Systems". Mathematical Proceedings of the Cambridge Philosophical Society. 31 (4): 555–563. Bibcode:1935PCPS...31..555S. doi:10.1017/s0305004100013554. ISSN 0305-0041. S2CID 121278681. Wiseman, H. M.; Jones, S. J.; Doherty, A. C. (2007). "Steering, Entanglement, Nonlocality, and the Einstein-Podolsky-Rosen Paradox". Physical Review Letters. 98 (14) 140402. arXiv:quant-ph/0612147. Bibcode:2007PhRvL..98n0402W. doi:10.1103/PhysRevLett.98.140402. ISSN 0031-9007. PMID 17501251. S2CID 30078867. Blaylock, Guy (January 2010). "The EPR paradox, Bell's inequality, and the question of locality". American Journal of Physics. 78 (1): 111–120. arXiv:0902.3827. Bibcode:2010AmJPh..78..111B. doi:10.1119/1.3243279. S2CID 118520639. Albert Einstein Max Born, Briefwechsel 1916-1955 (in German) (3 ed.). München: Langen Müller. 2005. p. 254. 34. Bell, John (1981). "Bertlmann's socks and the nature of reality". J. Physique Colloques. C22: 41–62. Bibcode:1988nbpw.conf..245B. |
参考文献 01. アインシュタイン, A; ポドルスキー, B; ローゼン, N (1935年5月15日). 「物理的実在の量子力学的記述は完全であると見なせるか?」 (PDF). Physical Review. 47 (10): 777–780. Bibcode:1935PhRv...47..777E. doi:10.1103/PhysRev.47.777. ペレス、アッシャー (2002). 『量子論:概念と方法』. クルワー. p. 149. ロビンソン、アンドルー (2018年4月30日). 「アインシュタインは本当にそう言ったのか?」. ネイチャー. 557 (7703): 30. Bibcode:2018Natur.557...30R. doi:10.1038/d41586-018-05004-4. S2CID 14013938. レベンソン、トーマス(1917年6月9日)。「科学者とファシスト」。『アトランティック』。2021年6月28日閲覧。 アインシュタイン、アルベルト;ポドルスキー、ボリス;ローゼン、ネイサン(1935年5月15日)。「物理的実在の量子力学的記述は完全であると見なせ るか?」。『フィジカル・レビュー』。47巻(10号)。ニュージャージー州プリンストン:高等研究所:777–780頁。Bibcode: 1935PhRv...47..777E. doi:10.1103/PhysRev.47.777. クマール、マンジット(2011年)。『Quantum: Einstein, Bohr, and the Great Debate about the Nature of Reality』(再版)。W. W. ノートン・アンド・カンパニー。pp. 305–306. ISBN 978-0-393-33988-8. 2021年9月12日閲覧 – Internet Archive経由。 リード, M. D.; ドラモンド, P. D.; ボーエン, W. P.; カヴァルカンティ, E. G.; ラム, P. K.; バコール, H. A.; アンデルセン, U. L.; ロイヒス, G. (2009年12月10日). 「コロキウム:アインシュタイン・ポドルスキー・ローゼンパラドックス:概念から応用まで」. Reviews of Modern Physics. 81 (4): 1727–1751. arXiv:0806.0270. Bibcode:2009RvMP...81.1727R. doi:10.1103/RevModPhys.81.1727. S2CID 53407634. Jaeger, Gregg (2014). Quantum Objects. Springer Verlag. pp. 9–15. doi:10.1007/978-3-642-37629-0. ISBN 978-3-642-37628-3. カイザー, デビッド (1994). 「人間という役者を舞台に戻す:アインシュタイン・ボーア論争の個人的な文脈」. 『British Journal for the History of Science』. 27 (2) : 129–152. doi:10.1017/S0007087400031861. JSTOR 4027432. S2CID 145143635. 10. アインシュタイン、アルベルト(1936年)。「物理学と現実」。フランクリン研究所紀要。221 (3): 313–347. doi:10.1016/S0016-0032(36)91045-1. ジャン・ピカールによる英訳は同号の349–382頁、doi:10.1016/S0016-0032(36)91047-5)。 「アインシュタイン、量子論を批判」。『ニューヨーク・タイムズ』。1935年5月4日。11面。2021年1月10日閲覧。 ジャマー、マックス(1974)。『量子力学の哲学:歴史的観点からの量子力学の解釈』。ジョン・ワイリー・アンド・サンズ。ISBN 0-471-43958-4。 ボーア, N. (1935年10月13日). 「物理的実在の量子力学的記述は完全であると見なせるか?」 (PDF). 『フィジカル・レビュー』. 48 (8): 696–702. Bibcode:1935PhRv...48..696B. doi:10.1103/PhysRev.48.696. ハリガン, ニコラス; スペッケンス, ロバート・W. (2010). 「アインシュタイン、不完全性、および量子状態の認識論的見解」. 『Foundations of Physics』. 40 (2): 125. arXiv:0706.2661. Bibcode:2010FoPh...40..125H. doi:10.1007/s10701-009-9347-0. S2CID 32755624. ハワード, D. (1985). 「局所性と分離可能性に関するアインシュタインの論考」. 『科学史・科学哲学研究』Part A. 16 (3): 171–201. Bibcode:1985SHPSA..16..171H. doi:10.1016/0039-3681(85)90001-9. ザウアー、ティルマン (2007-12-01). 「スピン観測量に関するEPRパラドックスに関するアインシュタインの原稿」。『科学史・科学哲学研究』B編:現代物理学史・哲学研究。38 (4): 879–887. Bibcode:2007SHPMP..38..879S. CiteSeerX 10.1.1.571.6089. doi:10.1016/j.shpsb.2007.03.002. ISSN 1355-2198. アインシュタイン, アルベルト (1949 年). 「自伝的メモ」. ポール・アーサー・シルップ (編). 『アルベルト・アインシュタイン:哲学者・科学者』. オープン・コート・パブリッシング・カンパニー. ボーム、D. (1951). 『量子論』、プレンティス・ホール、イングルウッド・クリフス、29ページ、および第5章第3節、第22章第19節。 20. D. ボーム、Y. アハロノフ (1957). 「アインシュタイン、ローゼン、ポドルスキーのパラドックスに関する実験的証明の考察」。『フィジカル・レビュー』108 (4): 1070. Bibcode:1957PhRv..108.1070B. doi:10.1103/PhysRev.108.1070. グリフィス、デビッド・J. (2004). 『量子力学入門』(第2版)。プレンティス・ホール。ISBN 978-0-13-111892-8. ラロー、フランク (2012). 「我々は本当に量子力学を理解しているのか」。『アメリカン・ジャーナル・オブ・フィジックス』. 69 (6): 655–701. arXiv:quant-ph/0209123. Bibcode:2001AmJPh..69..655L. doi:10.1119/1.1356698. S2CID 123349369. (正誤表: doi:10.1119/1.1466818) Bell, J. S. (1964). 「アインシュタイン・ポドルスキー・ローゼン・パラドックスについて」 (PDF). Physics Physique Физика. 1 (3): 195–200. doi:10.1103/PhysicsPhysiqueFizika.1.195. ボーム, D. (1952). 「『隠れた』変数を用いた量子論の解釈案 I」. Physical Review. 85 (2): 166. Bibcode:1952PhRv...85..166B. doi:10.1103/PhysRev.85.166. ボーム, D. (1952). 「『隠れた』変数を用いた量子論の解釈の提案。II」. Physical Review. 85 (2): 180. Bibcode:1952PhRv...85..180B. doi:10.1103/PhysRev.85.180. 桜井, J. J.; ナポリターノ, ジム (2010). 『現代量子力学』(第2版). アディソン・ウェズリー. ISBN 978-0-8053-8291-4. Aspect A (1999-03-18). 「ベルの不等式の実験:かつてないほど理想的」 (PDF). Nature. 398 (6724): 189–90. Bibcode:1999Natur.398..189A. doi:10.1038/18296. S2CID 44925917. Werner, R. F. (2014). 「『ベルが成し遂げたこと』へのコメント」. Journal of Physics A. 47 (42) 424011. Bibcode:2014JPhA...47P4011W. doi:10.1088/1751-8113/47/42/424011. S2CID 122180759. Żukowski, M.; Brukner, Č. (2014). 「量子非局所性――必ずしもそうとは限らない...」。Journal of Physics A. 47 (42) 424009. arXiv:1501.04618. Bibcode:2014JPhA...47P4009Z. doi:10.1088/1751-8113/47/42/424009. S2CID 119220867. 30. シュレーディンガー, E. (1936年10月). 「分離された系間の確率関係」. Mathematical Proceedings of the Cambridge Philosophical Society. 32 (3): 446–452. Bibcode:1936PCPS...32..446S. doi:10.1017/s0305004100019137. ISSN 0305-0041. S2CID 122822435. シュレーディンガー, E. (1935年10月). 「分離系間の確率関係に関する考察」. 『ケンブリッジ哲学協会数学紀要』. 31 (4): 555–563. Bibcode:1935PCPS...31..555S. doi:10.1017/s0305004100013554. ISSN 0305-0041. S2CID 121278681. ワイズマン, H. M.; ジョーンズ, S. J.; ドハティ, A. C. (2007). 「ステアリング、エンタングルメント、非局所性、およびアインシュタイン・ポドルスキー・ローゼン・パラドックス」. Physical Review Letters. 98 (14) 140402. arXiv:quant-ph/0612147. Bibcode:2007PhRvL..98n0402W. doi:10.1103/PhysRevLett.98.140402. ISSN 0031-9007. PMID 17501251. S2CID 30078867. ブレイロック, ガイ (2010年1月). 「EPRパラドックス、ベルの不等式、および局所性の問題」. 『American Journal of Physics』. 78 (1): 111–120. arXiv:0902.3827. Bibcode:2010AmJPh..78..111B. doi:10.1119/1.3243279. S2CID 118520639. アルベルト・アインシュタイン、マックス・ボルン『書簡集 1916-1955』(ドイツ語)(第3版)。ミュンヘン:ランゲン・ミュラー。2005年。p. 254. 34. ベル、ジョン (1981). 「ベルトルマンの靴下と現実の本質」. J. Physique Colloques. C22: 41–62. Bibcode:1988nbpw.conf..245B. |
| Selected papers Eberhard, P. H. (1977). "Bell's theorem without hidden variables". Il Nuovo Cimento B. Series 11. 38 (1): 75–80. arXiv:quant-ph/0010047. Bibcode:1977NCimB..38...75E. doi:10.1007/bf02726212. ISSN 1826-9877. S2CID 51759163. Eberhard, P. H. (1978). "Bell's theorem and the different concepts of locality". Il Nuovo Cimento B. Series 11. 46 (2): 392–419. Bibcode:1978NCimB..46..392E. doi:10.1007/bf02728628. ISSN 1826-9877. S2CID 118836806. Einstein, A.; Podolsky, B.; Rosen, N. (1935-05-15). "Can Quantum-Mechanical Description of Physical Reality Be Considered Complete?" (PDF). Physical Review. 47 (10): 777–780. Bibcode:1935PhRv...47..777E. doi:10.1103/physrev.47.777. ISSN 0031-899X. Fine, Arthur (1982-02-01). "Hidden Variables, Joint Probability, and the Bell Inequalities". Physical Review Letters. 48 (5): 291–295. Bibcode:1982PhRvL..48..291F. doi:10.1103/physrevlett.48.291. ISSN 0031-9007. A. Fine, Do Correlations need to be explained?, in Philosophical Consequences of Quantum Theory: Reflections on Bell's Theorem, edited by Cushing & McMullin (University of Notre Dame Press, 1986). Hardy, Lucien (1993-09-13). "Nonlocality for two particles without inequalities for almost all entangled states". Physical Review Letters. 71 (11): 1665–1668. Bibcode:1993PhRvL..71.1665H. doi:10.1103/physrevlett.71.1665. ISSN 0031-9007. PMID 10054467. M. Mizuki, A classical interpretation of Bell's inequality. Annales de la Fondation Louis de Broglie 26 683 (2001) Peres, Asher (2005). "Einstein, Podolsky, Rosen, and Shannon". Foundations of Physics. 35 (3): 511–514. arXiv:quant-ph/0310010. Bibcode:2005FoPh...35..511P. doi:10.1007/s10701-004-1986-6. ISSN 0015-9018. S2CID 119556878. P. Pluch, "Theory for Quantum Probability", PhD Thesis University of Klagenfurt (2006) Rowe, M. A.; Kielpinski, D.; Meyer, V.; Sackett, C. A.; Itano, W. M.; Monroe, C.; Wineland, D. J. (2001). "Experimental violation of a Bell's inequality with efficient detection". Nature. 409 (6822): 791–794. Bibcode:2001Natur.409..791R. doi:10.1038/35057215. hdl:2027.42/62731. ISSN 0028-0836. PMID 11236986. S2CID 205014115. Smerlak, Matteo; Rovelli, Carlo (2007-02-03). "Relational EPR". Foundations of Physics. 37 (3): 427–445. arXiv:quant-ph/0604064. Bibcode:2007FoPh...37..427S. doi:10.1007/s10701-007-9105-0. ISSN 0015-9018. S2CID 11816650. Books Bell, John S. (1987). Speakable and Unspeakable in Quantum Mechanics. Cambridge University Press. ISBN 0-521-36869-3. Fine, Arthur (1996). The Shaky Game: Einstein, Realism and the Quantum Theory. 2nd ed. Univ. of Chicago Press. Gribbin, John (1984). In Search of Schrödinger's Cat. Black Swan. ISBN 978-0-552-12555-0 Lederman, Leon; Teresi, Dick (1993). The God Particle: If the Universe Is the Answer, What Is the Question? Houghton Mifflin Company, pp. 21, 187–189. Selleri, Franco (1988). Quantum Mechanics Versus Local Realism: The Einstein–Podolsky–Rosen Paradox. New York: Plenum Press. ISBN 0-306-42739-7. |
主な論文 Eberhard, P. H. (1977). 「Bell's theorem without hidden variables」. Il Nuovo Cimento B. Series 11. 38 (1): 75–80. arXiv:quant-ph/0010047. Bibcode:1977NCimB..38...75E. doi:10.1007/bf02726212. ISSN 1826-9877. S2CID 51759163. エーバーハルト, P. H. (1978). 「ベルの定理と局所性の異なる概念」. Il Nuovo Cimento B. 第11シリーズ. 46 (2): 392–419. Bibcode:1978NCimB..46..392E. doi:10.1007/bf02728628. ISSN 1826-9877. S2CID 118836806. アインシュタイン, A.; ポドルスキー, B.; ローゼン, N. (1935-05-15). 「物理的実在の量子力学的記述は完全であると見なせるか?」 (PDF). Physical Review. 47 (10): 777–780. Bibcode:1935PhRv...47..777E. doi:10.1103/physrev.47.777. ISSN 0031-899X. ファイン, アーサー (1982-02-01). 「隠れた変数、結合確率、およびベルの不等式」。『Physical Review Letters』。48 (5): 291–295. Bibcode:1982PhRvL..48..291F. doi:10.1103/physrevlett.48.291. ISSN 0031-9007. A. Fine, 「相関は説明される必要があるのか?」, 『量子論の哲学的帰結:ベルの定理に関する考察』, Cushing & McMullin 編 (ノートルダム大学出版局, 1986年)。 Hardy, Lucien (1993年9月13日). 「ほぼすべての絡み合った状態における不等式を伴わない2粒子の非局所性」。Physical Review Letters. 71 (11): 1665–1668. Bibcode:1993PhRvL..71.1665H. doi:10.1103/physrevlett.71.1665. ISSN 0031-9007. PMID 10054467. M. Mizuki, 「ベルの不等式の古典的解釈」. Annales de la Fondation Louis de Broglie 26 683 (2001) Peres, Asher (2005). 「アインシュタイン、ポドルスキー、ローゼン、そしてシャノン」. Foundations of Physics. 35 (3): 511–514. arXiv:quant-ph/0310010. Bibcode:2005FoPh...35..511P. doi:10.1007/s10701-004-1986-6. ISSN 0015-9018. S2CID 119556878. P. Pluch, 「量子確率論」, クラゲンフルト大学博士論文 (2006) Rowe, M. A.; Kielpinski, D.; Meyer, V.; Sackett, C. A.; Itano, W. M.; Monroe, C.; Wineland, D. J. (2001). 「効率的な検出を用いたベルの不等式の実験的違反」。Nature. 409 (6822): 791–794. Bibcode:2001Natur.409..791R. doi:10.1038/35057215. hdl:2027.42/62731. ISSN 0028-0836. PMID 11236986. S2CID 205014115. Smerlak, Matteo; Rovelli, Carlo (2007-02-03). 「関係論的EPR」. Foundations of Physics. 37 (3): 427–445. arXiv:quant-ph/0604064. Bibcode:2007FoPh...37..427S. doi:10.1007/s10701-007-9105-0. ISSN 0015-9018. S2CID 11816650. 書籍 ベル、ジョン・S. (1987). 『量子力学における言説可能なものと不可言なものと』. ケンブリッジ大学出版局. ISBN 0-521-36869-3. ファイン、アーサー (1996). 『揺らぐゲーム:アインシュタイン、実在論、そして量子論』. 第2版. シカゴ大学出版局. グリビン、ジョン(1984)。『シュレーディンガーの猫を求めて』。ブラック・スワン。ISBN 978-0-552-12555-0 レダーマン、レオン;テレシ、ディック(1993)。『神の粒子:宇宙が答えなら、問いは何なのか?ホートン・ミフリン社、pp. 21, 187–189. セッレリ、フランコ(1988)。『量子力学対局所的実在論:アインシュタイン・ポドルスキー・ローゼン・パラドックス』。ニューヨーク:プレナム・プレス。ISBN 0-306-42739-7。 |
| https://en.wikipedia.org/wiki/Einstein%E2%80%93Podolsky%E2%80%93Rosen_paradox |
リ ンク
文 献
そ の他の情報
CC
Copyleft,
CC, Mitzub'ixi Quq Chi'j, 1996-2099